Integer exponents trip up plenty of eighth-grade students because the rules feel abstract until you see them in action. This worksheet tackles that exact problem by introducing the core properties first, then letting students work through problems where those rules actually matter.
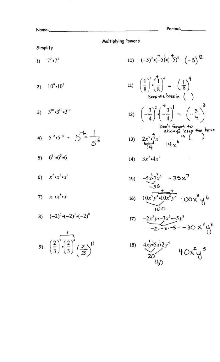
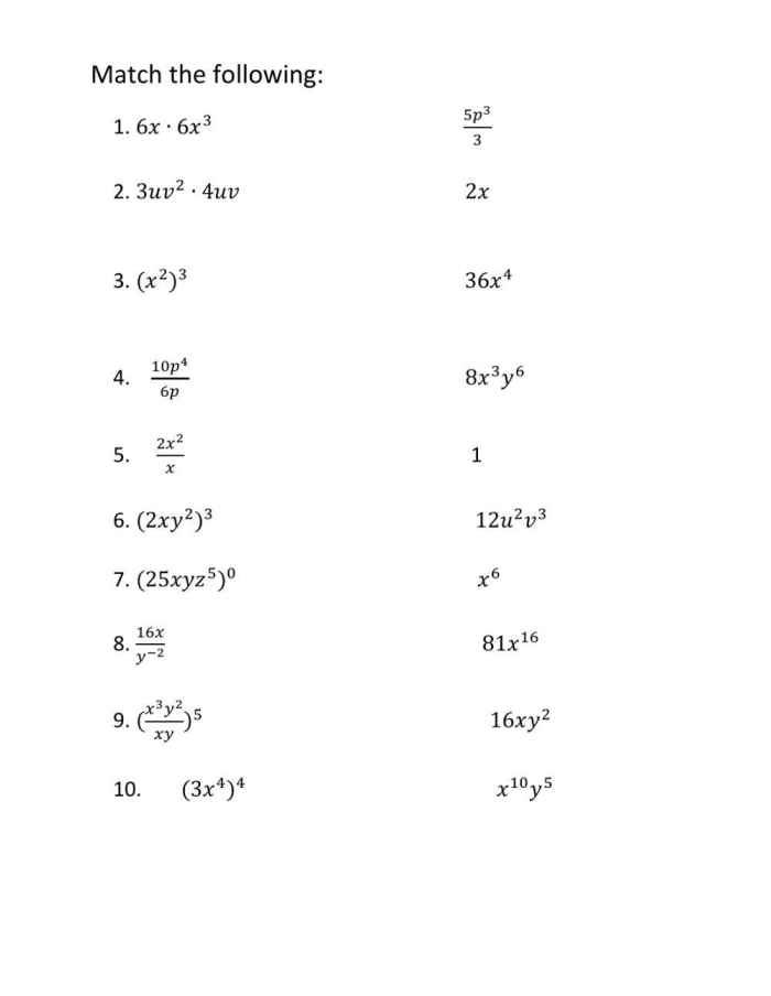
The key properties students encounter are straightforward once broken down: when you multiply powers with the same base, you add the exponents. When you divide them, you subtract. Raising a power to another power means multiplying the exponents. These aren’t random rules, they’re shortcuts that make calculations faster and cleaner.
What makes this approach effective is the structure. Students don’t just memorize definitions and move on. Instead, they learn why 2³ × 2⁴ equals 2⁷, not something random. They understand that 5⁶ ÷ 5² simplifies to 5⁴ because you’re essentially canceling out factors. This foundation matters because without it, students treat exponent rules like magic tricks instead of logical patterns.
The practice section reinforces this understanding through repetition with variety. Students solve problems involving products of powers, quotients, and powers raised to powers. They work with both positive and negative bases, which adds necessary complexity for eighth-grade measurement contexts where these skills apply to real scenarios like calculating areas and volumes.
One practical benefit: students who master these properties develop stronger algebraic thinking. They start seeing patterns in how numbers behave, which carries into higher math courses. The worksheet also builds confidence because students can check their work by expanding exponents the long way, then verifying their shortcut answers match.
For teachers looking for structured practice materials, printable properties of exponents worksheets provide exactly this kind of scaffolded learning experience, combining instruction with application in ways that stick with students.
Hands-On Worksheet Activities
























