Pythagorean Theorem Code Crack Worksheets

Pythagorean theorem worksheet for eighth-grade students featuring right triangles and missing side lengths
Crack the Code: Eighth Grade Geometry Worksheet on the Pythagorean Theorem
Category: Writing | Grade: Eighth Grade

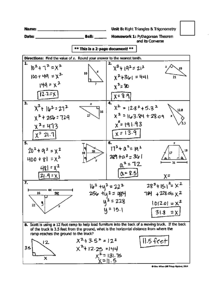
The Pythagorean theorem is one of those mathematical tools that eighth-grade students either click with immediately or struggle to grasp for months. The good news is that practice makes it stick, and worksheets designed specifically for this concept can transform confusion into confidence.

At its core, the Pythagorean theorem states that in any right triangle, a² + b² = c², where c is the hypotenuse (the longest side opposite the right angle) and a and b are the two legs. What makes this formula so useful is that if you know any two sides of a right triangle, you can always find the third. This single relationship unlocks countless real-world applications, from construction to navigation.

When working through eighth-grade geometry worksheets focused on this theorem, students typically encounter two main types of problems. The first asks you to find a missing leg when you know the hypotenuse and one leg. The second requires finding the hypotenuse when both legs are given. Both require the same formula, just rearranged differently. A worksheet that includes interactive formats like crack-the-code activities can make the repetition feel less tedious and more like puzzle-solving.

The practical value of mastering this skill extends beyond passing tests. Carpenters use it to square corners, engineers rely on it for structural calculations, and even video game developers use it to calculate distances between points. For eighth graders, these worksheets represent more than just geometry practice; they’re building blocks for higher mathematics and real-world problem-solving.

Pairing Pythagorean theorem practice with other eighth-grade writing assignments, such as worksheets on solving linear equations with varying numbers of solutions, helps students see how different mathematical concepts connect. This broader perspective strengthens overall mathematical thinking.


Use These Worksheets Today

Pythagorean theorem worksheet for eighth-grade students featuring right triangles and missing side lengths
Eighth grade geometry worksheet featuring Pythagorean theorem problems to solve for missing triangle sides
Interactive worksheet featuring the Pythagorean theorem for eighth graders to solve right triangle problems
Pythagorean Theorem worksheet featuring right triangles for eighth-grade students
Eighth grade students solving geometric equations on a Pythagorean Theorem Crack the Code math worksheet
Eighth grade geometry students practicing right triangle calculations with the Pythagorean Theorem: Crack the Code worksheet
Eighth grade geometry worksheet featuring Pythagorean theorem practice problems for finding missing triangle sides
Worksheet featuring the Pythagorean theorem for eighth graders to find missing triangle lengths
Eighth grade math worksheet featuring geometry problems for solving missing triangle sides with the Pythagorean Theorem
Pythagorean Theorem worksheet for eighth graders featuring right triangles and missing lengths
Worksheet showing the Pythagorean theorem for eighth-grade students to solve right triangles. Eighth-grade geometry worksheet: Crack the Code with the Pythagorean Theorem.
Worksheet featuring the Pythagorean theorem for eighth-grade geometry practice
Eighth-grade worksheet featuring the Pythagorean theorem to solve for right triangle lengths
Eighth grade geometry worksheet featuring various right triangles to solve using the Pythagorean theorem
Eighth grade math worksheet focusing on solving for missing side lengths using the Pythagorean Theorem
Eighth grade student working on a Pythagorean Theorem: Crack the Code geometry worksheet
Eighth grade geometry worksheet featuring Pythagorean theorem problems to solve for missing triangle sides
Eighth grade math worksheet focusing on solving for missing leg or hypotenuse lengths using the Pythagorean theorem
Eighth grade math worksheet focusing on solving right triangle problems using the Pythagorean theorem
Eighth-grade geometry worksheet for practicing the Pythagorean theorem with right triangles
Eighth grade student working on a Pythagorean theorem math worksheet about right triangles
Eighth grade geometry worksheet featuring practice problems for solving right triangles using the Pythagorean theorem
Worksheet featuring the Pythagorean theorem for eighth graders to solve right triangle problems
Pythagorean Theorem worksheet for eighth graders featuring right triangles and missing side lengths
Pythagorean Theorem worksheet for eighth graders featuring right triangles and calculations

Leave a Reply

Your email address will not be published. Required fields are marked *