Fun Printable Product of Powers Worksheets for 8th Graders

Eighth grade student solving product of powers algebra problems on a practice worksheet
Product of Powers Property Math Practice for Grade 8
Category: Algebra | Grade: Eighth Grade

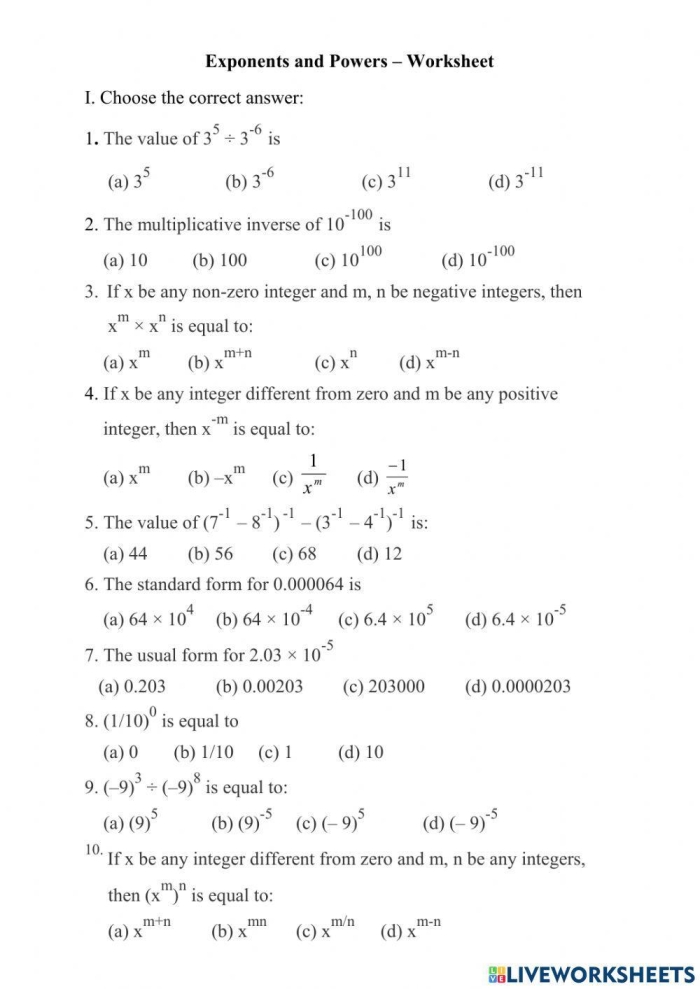
Understanding the Product of Powers Property is essential for eighth-grade students diving into the world of algebra. This property states that when multiplying two powers with the same base, you simply add the exponents. For instance, if you have \(a^m \times a^n\), the result is \(a^{m+n}\). This concept may seem straightforward, but practicing it through worksheets can significantly enhance a student’s grasp of algebraic principles.

One effective way to reinforce this knowledge is by using a dedicated worksheet focused on the Product of Powers Property. Such worksheets often provide a variety of problems, from basic to more challenging. For example, a problem might present \(x^3 \times x^5\) and require students to find the solution. By applying the property, the answer becomes \(x^{3+5} = x^8\). This step-by-step practice helps solidify the understanding of exponent rules.

Moreover, the benefits of these worksheets extend beyond just mastering one property. They encourage students to think critically about how different properties of exponents relate to each other. For instance, students can explore how the Product of Powers interacts with the Quotient of Powers or the Power of a Power rules. By engaging with these concepts, learners can develop a more comprehensive understanding of algebra as a whole.

Printable Product of Powers worksheets are readily available online, providing easy access for teachers and students alike. These resources often include various problem types, enabling students to practice in different contexts, which can be particularly beneficial. For example, after mastering the Product of Powers, students might find interest in topics like scientific notation or slope-intercept form.

The more students practice, the more confident they become in their algebra skills. It’s important to encourage them to work through the problems and seek help when needed. Worksheets focused on the Product of Powers Property serve as an excellent tool for fostering a deeper understanding of algebra in eighth graders.


Download These Worksheets for Practice

Eighth grade student solving product of powers algebra problems on a practice worksheet
Eighth grade student solving product of powers algebra problems on a math worksheet
Eighth grade algebra worksheet focusing on the product of powers property with multiple practice problems
Eighth grade math worksheet focusing on solving expressions using the Product of Powers rule
Eighth grade math worksheet focusing on exercises for the Product of Powers property
Eighth grade math student practicing exponent rules with a Product of Powers worksheet
Eighth grade math worksheet focusing on the Product of Powers rule
Eighth grade math worksheet focusing on the product of powers property for algebra students
Eighth grade student solving product of powers algebra problems on a practice worksheet
Eighth grade algebra worksheet focusing on solving math problems using the Product of Powers rule
Eighth grade student solving product of powers algebra problems on a practice worksheet
Eighth-grade student solving product of powers algebra problems on a practice worksheet
Eighth grade algebra worksheet focusing on solving math problems using the product of powers property
Eighth grade math worksheet focusing on the Product of Powers rule for algebraic expressions
Eighth grade algebra student completing a Product of Powers worksheet
Eighth grade math worksheet focusing on the product of powers property with exponents
Eighth grade math worksheet focused on solving algebraic expressions using the Product of Powers property
Eighth grade student solving product of powers algebra problems on a practice worksheet with exponent equations
Eighth grade math student practicing exponent rules with a Product of Powers worksheet
Eighth grade student solving product of powers algebra problems on a practice worksheet with exponent rules
Eighth grade math student solving algebraic equations on a Product of Powers worksheet
Eighth grade student solving product of powers algebra problems on a practice worksheet
Eighth grade student solving product of powers algebra problems on a math worksheet with exponent rules
Eighth grade student solving product of powers algebra problems on a math worksheet
Eighth grade algebra students practice the Product of Powers Property on this math worksheet

Leave a Reply

Your email address will not be published. Required fields are marked *